Novolac Type Epoxy Resin
|
|
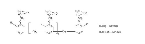
And NPPN NPCN phenol and phenolic p cresol epoxy products, and its biggest characteristic of heat resistance and drug resistance, is very suitable for use in the IC check material and the heat resistant modification agent of laminated plate, etc.The chemical structural formula as shown on the right:
|
|
Phenol Novolac Type
|
|
TRADE NAME
|
EEW
(g/eq)
|
SOLUTION VISCOSITY
(cps/25℃)
|
COLOR
(G)
|
COMMENTS
|
|
NPPN-631
|
168-178
|
1100-1700*
|
2.0max.
|
Low viscosity type Phenol phenolic resin
|
|
NPPN-638
|
170-190
|
H-K **
|
3.0max.
|
General type Phenol type phenolic resin
|
|
NPPN-638S
|
170-190
|
H-J **
|
3.0max.
|
General type Phenol type phenolic resin
|
|
*Brookfield viscometer method cps/52℃ **60%N.V.,butyl carbitol solution
|
Cresol Novolac Type
|
|
TRADE NAME
|
EEW
(g/eq)
|
SOFT POINT
(℃)
|
CLOOR*
(G)
|
COMMENTS
|
|
NPCN-701
|
190-215
|
60-64
|
3.0max.
|
Adhesion agent
|
|
NPCN-702
|
190-215
|
65-74
|
3.0max.
|
Then the agent, powder coating
|
|
NPCN-703
|
195-220
|
75-85
|
3.0max.
|
O - Cresol Novolac type, suitable for CFRP, CCL, printing ink, Coating, sealing material
|
|
NPCN-704
|
200-220
|
85-95
|
3.0max.
|
O - Cresol Novolac type, suitable for CFRP, CCL, printing ink, Coating, sealing material
|
|
*60%N.V.,butyl carbitol solution.
|
Tetra-Function Novolac Type
|
|
品TRADE NAME
|
EEW
(g/eq)
|
SOFT POINT
(℃)
|
CLOOR*
(G)
|
COMMENTS
|
|
NPPN-431
|
200-240
|
82-92
|
9~13
|
Four faculties base epoxy resin, excellent heat resistance, UV block, applied to CFRP, CCL
|
Novolac Solvent Type
|
|
TRADE NAME
|
EEW
(g/eq)
|
Non-volatility
(%)
|
CLOOR*
(G)
|
COMMENTS
|
|
NPPN-431A70
|
200-240
|
69-71
|
9~13
|
Four functions including solvent type epoxy resin, excellent heat resistance, resistance to UVblock, applied to CFRP, CCL
|
|
NPPN-638K80
|
170-190
|
79-81
|
3.0max.
|
MEK solvent
|
|
NPPN-638X80
|
170-190
|
89-91
|
3.0max.
|
Xylene solvent
|
|
NPPN-638S90
|
170-190
|
89-91
|
5.0max.
|
BCS solvent
|
|
NPPN-704K80
|
200-220
|
79-81
|
5.0max.
|
MEK solvent
|
|
NPPN-438A70
|
185-210
|
69-71
|
5.0max.
|
BPA-Novolac,Acetone
|
|
NPPN-438K80
|
185-210
|
79-81
|
5.0max.
|
BPA-Novolac,MEK
|